Research & Development

Synthesis and Properties of Multi-Arm Cardanol-Based UV-Curable Resin for Wood Coatings

  • Miao Chen ,
  • Jinfeng Zhang ,
  • Qiaohua Zhou ,
  • Ren Liu ,
  • Yan Yuan * ,
  • Xiaoya Liu
Expand
  • The Key Laboratory of Synthestic and Biological Colloids,Ministry of Education,School of Chemical and Material Engineering, Jiangnan University, Wuxi, Jiangsu 214122, China

Received date: 2018-03-15

  Online published: 2018-09-20

Copyright

Copyright reserved © 2018

Abstract

A multi-arm cardanol-based resin(CC) was prepared by nucleophilic substitution reaction of cardanol and hexachlorocyclotriphosphazene (HCCP) at the presence of the catalyst. By means of epoxidation of unsaturated double bonds on long aliphatic chain of cardanol, a new multi-arm cardanol-based UV-curable resin was obtained by introducing acrylate groups through the ring-opening reaction with acrylic acid. The molecular weight of the resin was characterized by MALDI-TOF and GPC, the properties of photopolymerization activity, basic properties of coating and thermal stability were also studied as compared with the commercialized bio-based resin AESO (acrylated epoxidized soybean oil). The results showed that the prepolymer had higher double bond conversion, the cured film had better adhesion, hardness, gloss and flame retardancy as compared with AESO.

Cite this article

Miao Chen , Jinfeng Zhang , Qiaohua Zhou , Ren Liu , Yan Yuan , Xiaoya Liu . Synthesis and Properties of Multi-Arm Cardanol-Based UV-Curable Resin for Wood Coatings[J]. Paint & Coatings Industry, 2018 , 48(5) : 1 -7 . DOI: 10.12020/j.issn.0253-4312.2018.5.1

传统木器涂料在生产和施工过程中会使用大量有机溶剂并释放VOC,造成环境污染的同时还严重危害人类健康[1,2,3]。开发环境友好的木器涂料产品并提高自主创新能力已然成为行业可持续发展的有力保证[4,5]。UV固化木器涂料因其固化速度快、环保节能的优点,近年来成为木器领域热门的涂料品种[6,7]
以植物油为原料制备的生物基材料由于来源丰富、性价比优、易于化学工业改性转化应用等优点,被广泛应用于涂料领域[8]。环氧大豆油丙烯酸酯(AESO)是大量工业化的植物油基树脂,已经在木器涂料领域得到了广泛应用,但因其主链为柔性结构,导致其固化膜的玻璃化转变温度较低,机械力学性能较差,很大程度上限制了其在涂料中的应用,因此亟待开发出新型高生物基含量的性能优异的生物基树脂[9,10,11]。而来源于腰果壳液中的腰果酚具有与植物油酸类似的不饱和脂肪链,同时还具有刚性的苯环结构,由其制备的涂料涂膜通常具有较好的硬度与柔韧性、附着力、耐热性和耐腐蚀性等,近几年引起了国内外学者的广泛关注与研究[12,13,14]。木器家具的易燃性也要求其涂层具备一定的阻燃性能,磷、氮协同作用使含环三磷腈的化合物具有良好的耐热性和阻燃性能[15,16]。本研究以腰果酚(Cardanol)与六氯环三磷腈(HCCP)作为主要原料,合成多臂腰果酚基低聚物,再通过环氧化及丙烯酸化改性引入丙烯酸酯基团制备新型生物基光固化树脂,并与商品化植物油树脂AESO进行对比,该研究为腰果酚在UV固化木器涂料领域中的应用提供了一条新的途径。

1 实验部分

1.1 主要原料和试剂

腰果酚(Cardanol):工业纯,卡莱德(珠海)化工有限公司;六氯环三磷腈(HCCP):分析纯,上海阿达玛斯试剂有限公司;间氯过氧苯甲酸(m-CPBA):工业级,上海阿达玛斯试剂有限公司;三乙胺(TEA)、1,4-二氧六环、四丁基溴化铵(TBAB)、二氯甲烷、亚硫酸钠、碳酸氢钠、氯化钠、丙烯酸(AA)、对苯二酚:分析纯,国药集团化学试剂有限公司;2-乙基己酸铬(Cr):分析纯,美国Strem Chemicals公司;光引发剂184(1-羟基环己基苯基甲酮):分析纯,天津久日新材料股份有限公司;三苯基膦(TPP):分析级,山东洪川化工有限公司;环氧大豆油丙烯酸酯(AESO):工业级,江苏三木化工股份有限公司;丙烯酸异冰片酯(IBOA):分析级,无锡阿科力化工股份有限公司。

1.2 制备过程

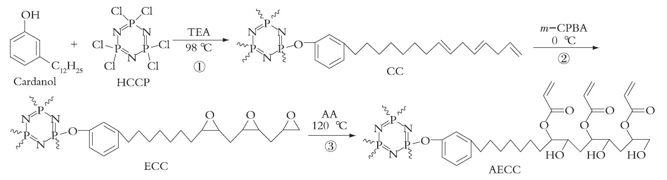
1.2.1 多臂腰果酚基丙烯酸酯单体的合成
在装有动力搅拌棒、回流冷凝管、温度计的三口烧瓶中投入计算量的腰果酚与三乙胺,同时将六氯环三磷腈溶解于1,4-二氧六环中,缓慢匀速滴加至三口烧瓶中,升温至98 ℃微回流反应一定天数后过滤除去白色固体,旋蒸除去溶剂后即得多臂腰果酚基低聚物CC。
将一定量的CC投入三口烧瓶中,缓慢滴入溶有与CC中不饱和双键等物质的量的m-CPBA二氯甲烷溶液,冰水浴中反应2 h,反应结束后过滤除去体系中的白色固体,再分别用饱和的亚硫酸钠、碳酸氢钠、氯化钠溶液洗涤3次,旋蒸除去溶剂后置于45 ℃真空干燥箱中干燥12 h,即得多臂环氧化物ECC。
向所得的环氧化产物ECC中加入1%的催化剂2-乙基己酸铬、0.1%的阻聚剂对苯二酚,加入到装有磁力搅拌及温度计的三口烧瓶中,升温至90 ℃缓慢滴加一定量的丙烯酸,控制在0.5 h内滴完,继续升温至110 ℃持续搅拌反应6 h,通过酸值的滴定判断反应的进度,当酸值降至5 mgKOH/g以下,停止反应,即得到最终产物多臂腰果酚基丙烯酸酯(AECC)。
图1 AECC单体的合成路线

Fig.1 The systhetic route of AECC monomer

1.2.2 光固化涂层的制备与固化
表1配方制备涂料,充分振荡和超声使其充分混合均匀,使用BYK框架式涂膜器在木质基材上匀速刮涂。最后使用Fusion公司的F300S履带式光固化机固化,固化传送速度为5.4 m/min,传送5次,利用美国EIT公司的UV Power Puck II紫外辐照计测得四波段固化能量分别为962 mJ/cm2(UVA)、225 mJ/cm2(UVB)、65 mJ/cm2(UVC)和1 153 mJ/cm2(UVV)。
表1 涂料配方

Table 1 QTL information of silique2 length in SG population over nine environments

注:a—光引发剂184的用量为基体树脂和活性稀释剂总质量的3%。

1.3 测试与表征

按照ASTM D1652—2004标准测定环氧化物的环氧值;根据GB/T 5530—2005标准测定树脂的酸值。酯化率=1-反应后树脂酸值/反应前树脂酸值。
采用美国布鲁克·道尔顿公司的Ultrafle Xtreme型基质辅助激光解析电离串联飞行时间质谱仪(MALDI-TOF),以2,5-二羟基苯甲酸(2,5-DHB)为基质,将样品溶于四氢呋喃(THF)中,配制为10 mg/mL的溶液对样品的相对分子质量进行测定。
采用美国沃特世科技有限公司的Water THF型凝胶渗透色谱仪测定样品的相对分子质量,选择色谱纯的四氢呋喃作为流动相,同时以单分散的聚苯乙烯作为标准样,测试温度35 ℃。
采用美国Nicolet公司的Nicolet 6700型实时红外光谱仪测定光固化树脂的双键转化率,紫外光点光源光强35 mW/cm2(EFOSLite,50 W汞灯,配备300~500 nm滤光片、5 mm石英光纤),固化时间5 min。
按GB/T 9286—1998检测涂层的附着力。采用BYK微型光泽仪测试涂层的光泽。按GB/T 6739—2006测试涂层的铅笔硬度。采用BYK摆杆硬度仪按ASTM D4366—2016测定涂层的摆杆硬度。采用美国TA仪器公司的Q800型动态热机械分析仪测试固化膜的热机械性能与交联密度,测试温度范围为-40~110 ℃,升温速率为3 ℃/min,测试模式为薄膜拉伸模式。参照GB/T 2408—2008标准,采用中国江宁CZF-2型水平垂直燃烧测试仪对固化物样条进行阻燃性能测试。参照GB/T 2406.1—2008,使用中国江宁HC-2型极限氧指数仪对固化后样品进行阻燃性能测试,测试样条尺寸为130 mm×6.5 mm×3 mm。

2 结果与讨论

2.1 合成条件探索

2.1.1 不同反应条件对ECC环氧值的影响
本实验考察了不同反应物投料比n(m-CPBA)∶n(CC)、反应时间及温度对多壁环氧化物ECC环氧值的影响,结果如表2所示。
表2 不同反应条件对环氧值的影响

Table 2 Effect of different reaction conditions on epoxy value

表2可以看出,当m-CPBA用量较小时,ECC环氧值随着n(m-CPBA)∶n(CC)增加而增大,当n(m-CPBA)∶n(CC)>11.4∶1时,环氧值呈下降趋势。这是由于过量的m-CPBA会继续与环氧基发生反应,导致环氧基团开环,从而使得环氧值下降。同样,过高的反应温度与过长的反应时间都会使环氧基团在酸性条件下发生开环副反应,导致环氧化物的环氧值下降,通过对比实验确定了获得较高环氧值产物的最佳反应条件为:n(m-CPBA)∶n(CC)=11.4∶1,反应时间为2 h,反应温度为0 ℃。
2.1.2 不同催化剂及投料比对酯化率的影响
腰果酚基多臂型丙烯酸酯是由腰果酚基环氧低聚物与丙烯酸通过酯化反应而得。由于环氧低聚物ECC中环氧基多位于分子链的中间,较分子链末端的环氧基团反应活性相对较弱,为降低丙烯酸单体残留量,实验设计3组不同催化剂与投料比[n(环氧基)∶n(羧基)],研究其对酯化率的影响。反应温度110 ℃,反应时间8 h,阻聚剂对苯二酚用量为多臂腰果酚基环氧树脂质量的0.1%。
图2可以看出,使用不同催化剂时酯化率都随着反应物投料比的增加而提高。当n(环氧基)∶n(羧基)=1.1∶1时,反应可达到较高的酯化率,继续增加投料比对酯化率的提高影响不大,体系中残余的环氧基在催化剂作用下,长时间受热可能会导致残余的环氧基聚合,使体系黏度剧增,甚至凝胶。因此设定n(环氧基)∶n(羧基)=1.1∶1。另外,3种催化剂在反应过程中表现出不同的催化效率:Cr>TBAB>TPP,因此选择催化效率最高的2-乙基己酸铬作为催化剂。
图2 不同催化剂与投料比对酯化率的影响

Fig.2 Effect of different catalysts and reactant on esterification rate

2.2 MALDI-TOF与GPC表征

图3是产物CC的阳离子基质辅助激光解吸电离飞行时间质谱的钠加合分子峰。
图3 阳离子基质辅助激光解吸电离飞行时间质谱图

Fig.3 Cation matrix assisted laser desorption ionization time of flight mass spectrum of CC

图3可以看出,在m/z=1 000~2 000区间内主要有4组峰,每组峰的m/z相差254~354,基本上相当于1个腰果酚和1~3个氯原子和差的相对分子质量;每组峰具有相同的取代度,但因为腰果酚存在4个相对分子质量(298~304)的结构,每组峰内相邻两峰的m/z相差不等。可以判断除取代度DS=6的产物外,还存在其他3种取代度DS=3、DS=4和DS=5的多臂取代物。表3是CC、ECC和AECC 3种样品的GPC表征数据。串联的2根色谱柱型号分别为Waters Styragel HR 2 THF, 7.8×300 mm和Waters Styragel HR 4 THF, 7.8×300 mm,样品相对分子质量在其有效检测范围内,希望通过GPC数据表征产物相对分子质量分布,分析是否有大分子产物生成与副反应情况。
表3 AECC及其中间产物的相对分子质量和相对分子质量分布

Table 3 Molecular weight and PDI data of AECC and its intermediates

由三者的PDI都小于1.2来看,均具有较窄的相对分子质量分布,分子结构均一性较好。

2.3 光固化体系的双键转化率研究

图4是AECC和AESO配方涂层在光固化过程中的双键转化率变化曲线。
图4 不同丙烯酸酯的双键转化率

Fig.4 Double bond conversion of different acrylate resin

AECC由于基团树脂呈深棕色,在光固化过程会对底层树脂产生一定的光屏蔽效应从而影响固化速率,因此在光固化初始阶段具有较低的双键转化率;而AESO体系为浅色体系,其初始固化速率相对较快,在固化时间到达50 s后固化速率急速下降并逐渐趋于稳定。AECC最终转化率达到了近80%,比AESO略高,原因是多臂的柔性脂肪链不仅减小了分子缠绕,其较高的链段运动能力有利于丙烯酸双键微凝胶效应的推迟,从而相互继续发生交联反应,使光聚合反应能够获得较高的双键转化率。

2.4 光固化涂层的基本性能

表4是AECC和AESO光固化涂层的基本性能。
表4 光固化涂层的基本性能

Table 4 Properties of UV-cured Coatings

表4可以看出,AECC涂层具有较高的光泽,并且在未添加附着力促进剂的情况下表现出相对优良的附着力。这主要是由于固化体系中含有大量羟基、羰基等极性基团,有助于涂层在木质基材上附着的缘故。同时AECC预聚体相对于柔性主链的AESO含有刚性苯环及磷腈环,使得AECC涂层表现出更高的铅笔硬度与摆杆硬度,可以更好地兼顾附着力、光泽与硬度。

2.5 固化膜的DMA测试

图5是AECC及AESO固化体系储能模量随温度的变化曲线。
图5 固化膜的储能模量随温度变化曲线

Fig.5 Temperature dependence of storage modulus E' of cured films

图5可以看出,在相同温度下,AECC均保持着高于AESO的储能模量,这表明AECC在同一温度下固化膜较难发生形变,具有更佳的存储弹性形变的能力,刚性更强。这主要是由于在AECC树脂预聚体结构中含有大量刚性苯环与磷腈环基团以及更高的交联密度,同时固化体系中磷腈环之间相互作用产生内聚能赋予固化膜一定的刚性,从而具有更高的储能模量。
图6是固化体系损耗因子随温度变化曲线,曲线峰值对应的温度可以表征固化膜的玻璃化转变温度Tg
图6 固化膜的损耗因子随温度变化曲线

Fig.6 Temperature dependence of tanδ of cured films

图6可以看出,AECC固化膜较AESO固化膜具有更高的Tg,这是因为树脂结构中含有大量刚性的苯环和磷腈环,成膜后固化体系具有更高的交联密度,以上结果说明制备的生物基光固化树脂具有优异的动态机械性能。固化膜的动态机械性能和交联密度如表5所示。
表5 固化膜的动态机械性能和交联密度

Table 5 Dynamic mechanical properties and crosslink densitities of cured films

利用高分子材料在橡胶态的储能模量E'可以计算出固化体系的交联密度(νe),其计算基于橡胶弹性理论,具体计算公式如式(1)所示。
ν e = E' 3 RT
其中:R—气体常数;T—绝对温度;E'—样品在Tg+50 ℃时的储能模量。

2.6 固化膜的阻燃性能

通过水平垂直燃烧测试和氧指数测试对AECC固化膜的阻燃性能进行了测试表征,极限氧指数(LOI)是指刚好维持试样燃烧所需的最低氧浓度,可以有效判断材料在空气中与火焰接触时燃烧的难易程度。本实验中制备的涂层其极限氧指数可达到26.7%,已接近难燃材料标准(LOI≥27)。UL94水平垂直燃烧试验可以根据树脂材料被点燃后的燃烧速度、燃烧时间、抗滴能力以及滴珠是否燃烧等评判方法对其熄灭能力进行评价。通常情况下提高环氧丙烯酸树脂的阻燃性能比较困难,很多应用于环氧丙烯酸树脂体系阻燃的含磷固化剂或者阻燃剂只能在一定程度上提高环氧树脂体系的氧指数,但是通过水平垂直测试比较困难。本实验合成树脂制备的厚度为3.0 mm的测试样条可以顺利通过UL94水平燃烧试验,燃烧过程中未出现熔滴现象,离开火焰有很好的自熄性,展现出一定的阻燃性能。
图7为AECC固化膜燃烧后在不同分辨率下的残炭扫描电子显微镜图像。
图7 固化膜燃烧后残炭扫描电镜照片

Fig.7 SEM image of char residues after burning test

图7可以看出,在200 μm分辨率下可以观察到固化材料残炭表面致密性和连续性很好,致密连续的炭层结构能够在燃烧过程中有效地抑制热量、氧气和可燃气体的传递,保护内部材料。在更高分辨率下可以观察到由于受热生成的气体碳层中存在大量完好的气泡,这种结构能进一步隔绝和保护内部基材。这种结构的形成是由于磷腈环上P—O—C键能比树脂结构中C—C键能低,在受热起始阶段先发生分解生成焦磷酸、聚磷酸等阻燃物质,能够在热降解过程的较早阶段抑制燃烧的继续进行,并且在燃烧有氧环境热降解过程中可以生成膨胀致密的炭层覆盖在材料表面,能够起到隔绝热量和空气以保护内部材料的作用。

3 结 语

(1)以生物基的腰果酚与六氯环三磷腈为主要原料制备了多臂腰果酚基环三磷腈丙烯酸酯(AECC),探索了环氧化阶段不同反应条件对环氧化物的影响,考察了丙烯酸化阶段催化剂与投料比对酯化率的影响,并通过MALDI-TOF与GPC对其多臂结构与相对分子质量进行了表征,证实了目标产物的成功合成。
(2)将制备的AECC制备成UV固化涂料,涂覆在木质基材上,并与市售的植物油基树脂进行对比,使用实时红外研究其双键转化率并对其基本涂膜性能进行研究。结果表明:该预聚体具有更高的双键转化率,其固化膜具有更优的附着力、硬度与光泽,且具有一定的阻燃性能。
[1]
VILELA C, SOUSA A F, FONSECA A C , et al. The quest for sustainable polyesters-insights into the future[J]. Polymer Chemistry, 2014,5(9):3119-3141.

[2]
BEERTHUIS R, ROTHENBERG G, SHIJU N R . Catalytic routes towards acrylic acid, adipic acid and ε-caprolactam starting from biorenewables[J]. Green Chemistry, 2015,17(3):1341-1361.

[3]
李桂林 . UV固化涂料[J]. 涂料工业, 2008,38(5):66.

[4]
万祥龙, 郝国防, 王叶 . 涂料行业的环保政策解读及应对策略[J]. 涂料工业, 2014,44(3):75-80.

[5]
姚永平, 崔艳艳, 董智贤 , 等. 水性光固化涂料研究进展[J]. 涂料工业, 2011,41(8):74-79.

[6]
王锋, 胡剑青, 涂伟萍 . UV固化低聚物及其涂料研究进展[J]. 热固性树脂, 2007,22(3):41-46.

[7]
陈国强, 陈学思, 徐军 , 等. 发展环境友好型生物基材料[J]. 新材料产业, 2010(3):54-62.

[8]
XIA Y, LAROCK R C . Vegetable oil-based polymeric materials: synjournal, properties, and applications[J]. Green Chemistry, 2010,12(11):1893-1909.

[9]
王婷, 刘仁, 刘晓亚 . 天然绿色环氧大豆油丙烯酸树脂的合成及性能研究[J]. 涂料工业, 2013,43(1):49-52.

[10]
GIOIA C, MINESSO A, CAVALIERI R , et al. Powder coatings for indoor applications from renewable resources and recycled polymers[J]. Journal of Coatings Technology & Research, 2015,12(3):1-8.

[11]
钱伯章 . 生物基树脂将进入发展热潮[J]. 橡塑技术与装备, 2010,36(10):32.

[12]
KATHALEWAR M, SABNIS A , D’MELLO D. Isocyanate free polyurethanes from new CNSL based bis-cyclic carbonate and its application in coatings[J]. European Polymer Journal, 2014,57:99-108.

[13]
LIU R, ZHU G, LI Z , et al. Cardanol-based oligomers with “hard core, flexible shell” structures: from synjournal to UV curing applications[J]. Green Chemistry, 2015,17(6):3319-3325.

[14]
黄敏, 蒋平平, 张萍波 , 等. 交联型腰果酚基水性聚氨酯的制备及性能[J]. 涂料工业, 2017,47(2):22-27.

[15]
元东海, 唐安斌, 黄杰 . 环磷腈阻燃剂的开发与应用研究进展[J]. 化工新型材料, 2012,40(4):17-19.

[16]
高岩立, 冀克俭, 刘元俊 , 等. 环三磷腈衍生物的合成及其阻燃环氧树脂应用研究[J]. 化工新型材料, 2015(10):226-228.

Outlines

/