HSE

Research Progress of Rust Converter in Waterborne Anticorrosion Coatings

  • Yanfei Feng ,
  • Ziping Pan *
Expand
  • Moutai Institute, Department of Resource and Environment, Zunyi, Guizhou 564500, China

Received date: 2018-06-12

  Online published: 2018-09-13

Copyright

Copyright reserved © 2018

Abstract

At present, most of the researches on rust-converting coatings are still based on traditional rust converters, and the development of novel, efficient and environment-friendly rust converters has become a hot topic. In this article, the current research status of the rust converters has been summarized. Meanwhile, the mechanism and research status of the phosphoric acid, tannic acid, gallic acid and gallic acid ester and oxime compounds were described. Finally, the problems existing in the application of different rust converters and the development of rust converter are predicted.

Cite this article

Yanfei Feng , Ziping Pan . Research Progress of Rust Converter in Waterborne Anticorrosion Coatings[J]. Paint & Coatings Industry, 2018 , 48(8) : 49 -54 . DOI: 10.12020/j.issn.0253-4312.2018.8.49

铁锈是复杂的混合物,主要成分为Fe2O3α-FeOOH、Fe3O4γ-FeOOH、FeO、Fe(OH)2 Fe ( OH ) 3 [ 1 - 2 ] 。暴露在空气中的铁锈具体成分受pH、温度和空气中污染物的影响。根据国内外相关文献[3,4,5]可知,正常条件下,钢材表面的铁锈表面呈现片状、棒状和点状的形态,这3种形态分别对应3种不同成分,分别是磁铁矿(Fe3O4)、纤铁矿(γ-FeOOH)和针铁矿(α-FeOOH),这也是铁锈最主要的3种成分。铁锈不能起封闭作用,水和氧气及其他对铁具有腐蚀作用的气体(SO2、Cl2等)可以渗入,使铁不断被锈蚀。转化型水性带锈防腐涂料就是利用其中的转锈剂与铁锈反应,使铁锈转化成惰性物质,既能封闭铁锈,使其与外界隔绝,又能较好地附着在钢铁表面的涂料[6,7]。随着环境保护的要求和水性带锈防腐涂料的发展,该涂料应用范围不断扩大,锈蚀转化不彻底、附着力差等问题也显现出来,因此,对转锈剂的研究,是新型水性带锈防腐涂料的一个重要方向,是当前防腐涂料的一个研究热点。
目前国内外常用的锈转化剂有铬酸盐、磷酸、亚铁氰化钾、单宁酸、植酸、没食子酸或它们的复合酸[8,9]等,传统的红丹体系、含铬体系以及亚铁氰化钾体系等已经不符合环保要求。本文综述了近年来转锈剂的研究进展,着重介绍了磷酸、单宁酸、没食子酸及没食子酸酯、肟类化合物以及其他新型转锈剂。

1 磷酸和单宁酸类

磷酸和单宁酸是最常见也是较早使用的转化体系。磷酸能把不稳定的铁锈溶解成离子状态,使之易与单宁酸螯合。同时也能与铁反应生成磷酸亚铁转化膜,具有阴极化和阻蚀钝化作用[10]。它的作用机理如图1 所示。
图1 磷酸与铁锈作用机理

Fig.1 The mechanism of reaction between phosphoric acid and rust

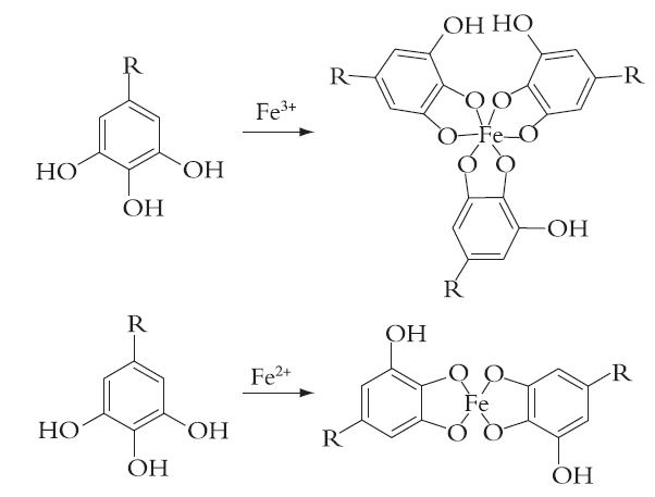
单宁酸是一种有机酸,相对分子质量较大,分子式为C6H7O(C14H9O9)5,其中C14H9O9 的邻位羟基为可螯合基团,在酸性条件下与铁离子进行螯合作用生成难溶性的单宁酸铁络合盐,附着在金属表面并能有效抑制腐蚀[11,12,13]。Barrero等[14]证实了这个反应机理,如图2所示。
图2 单宁酸与铁锈作用机理

Fig.2 The mechanism of reaction between tannin acid and rust

Ross等[15]是较早研究单宁酸作为转锈剂的学者,他们将合欢树中提取的单宁酸涂在生锈的钢铁表面,发现钢铁表面生成稳定的螯合物,并能有效地抑制腐蚀。Hu等[16]用一定比例的水、磷酸、重铬酸钾、氧化锌等通过不断搅拌的方式使它们充分溶解,制备了锈转化涂料。实验结果表明:该涂料涂在生锈的钢铁表面,经过24 h之后,钢铁表面生成一层致密紧凑的黑色有机膜,并有较好的附着力。通过连续2个月的盐水浸泡测试,该涂层没有起泡和掉皮现象,涂层表面没有明显的腐蚀点,说明该涂料具有良好的耐腐蚀性能和自我修复能力,提升了金属材料的整体防腐性能。
高景龙等[17]研制的钢铁带油带锈带水涂料是以磷酸和单宁酸为转化剂,以环氧树脂和聚乙烯醇缩丁醛为成膜物的带锈涂料。探讨了主要成分对铁锈转化能力及涂膜质量的影响,实验结果表明:当磷酸与单宁酸的质量比为1∶1时,锈转化层和基体结合牢固。环氧树脂和聚乙烯醇缩丁醛的质量比为1.1∶(1.8~2.0)时,涂层附着牢固,耐水性好。提升了带锈涂料的附着力和耐腐蚀性能。
采用合适的复配方法,将磷酸和单宁酸进行复配,可发挥它们的协同作用,以增强转锈涂料的综合性能。屈中伟等[18]将单宁酸溶液、浓磷酸按所需的浓度配成不同比例的单宁酸-磷酸转化体系。研究了单宁酸-磷酸复合转化膜的组成、结构及对基材耐腐蚀性的影响,实验结果表明:单宁酸-磷酸复合转化可显著提高带锈钢材的耐腐蚀性,单宁酸为5 g/L、磷酸为15 g/L时,转化试样的耐腐蚀性最佳。李洋等[19]进一步探讨了磷酸和单宁酸复配方法以提高钢结构与涂层的附着力,为配方的优化及实际应用提供一定的理论依据。

2 没食子酸及没食子酸酯类

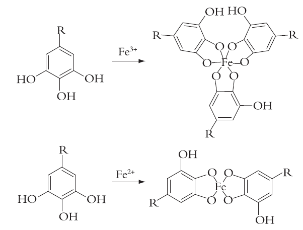
没食子酸是一种植物多酚,广泛存在于植物、水果中[20]。没食子酸的结构中含有1个羧基和3个酚羟基。酚羟基与Fe2+和Fe3+具有较强的螯合能力,可与铁离子形成Fe—O—C结构的络合物,形成稳定的紫罗兰色没食子酸-铁络合物[21,22]。基于没食子酸的特殊结构,研究者一般利用其羧基与较大相对分子质量的缩水酯进行酯化反应生成相对分子质量较高的没食子酸酯,增加它与有机树脂的混溶性,没食子酸酯可以用于制备转化型的带锈转锈涂料[23]。近年来,不少研究者对其转锈功能进行了研究改进,并作为转锈剂应用到涂料中。
没食子酸酯与铁锈的反应机理[24,25]图3所示。
图3 没食子酸酯与铁锈作用机理

Fig.3 The mechanism of reaction between gallic acid esters and rust

岳华东[26]用甲基丙烯酸缩水甘油酯为原料,没食子酸为功能单体,采用环氧开环酯化法制备了一种没食子酸酯转锈剂。当甲基丙烯酸缩水甘油酯与没食子酸的质量比为4∶1,温度110 ℃时得到金黄色液体没食子酸酯化物即转锈剂,将这种转锈剂涂刷在锈蚀的钢板上,可在20 min内使锈蚀转变成黑色转化物,但存在涂膜附着力、耐盐性差的问题。李艳华等[27]在此基础上进行了改进,在制备没食子酸酯转锈剂的过程中加入了E-44环氧树脂,制备了一种复合型没食子酸酯转锈剂,研究了E-44投料比对酯化反应的影响。实验表明:当甲基丙烯酸缩水甘油酯与没食子酸物质的量比为4∶1,E-44环氧树脂用量为5%时,可得到性能优良的没食子酸酯转锈剂。Fia等[28]用没食子酸与甲基丙烯酸缩水甘油酯反应制得转锈剂RGC,再与苯乙烯、丙烯酸通过乳液聚合制备了锈转化乳液RCE,并探讨了它的反应机理。结果表明:当RGC的用量为4%时,该乳液的转锈效果、附着力与防腐性能达到最佳。
张光华等[29]在国外学者的研究基础上,以没食子酸为原料与1,2-丙二醇反应得到具有转锈作用的络合剂单体,再用甲基丙烯酸-β-羟乙酯与P2O5反应合成磷酸酯功能单体,将两者一起参与乳液聚合,制得水性锈转化乳液,测试表明该乳液具有良好的防腐性能。随后张光华等[30]又采用没食子酸与甲基丙烯酸缩水甘油酯、三苯基膦合成具有转锈功能的烯基单体,P2O5作为磷酸化试剂合成磷酸酯功能单体,再采用种子乳液聚合的方法,将其与丙烯酸酯共聚,制备高分子水性转锈涂料,实验表明涂料具有较好的附着性和耐腐蚀性能。Li等[31]同样用没食子酸与1,2-丙二醇为原料,在没食子酸与1,2-丙二醇反应过程中加入对甲苯磺酸,制备水性没食子酸酯转锈剂RC-GAE。通过极化曲线的方法对涂有锈转化剂的带锈板的防腐性能进行研究,讨论了合成RC-GAE的最佳醇酸比。测试表明RC-GAE具有优良的转锈、除锈和耐腐蚀性能,并且对底材无害。
以没食子酸为原料制备没食子酸酯作为转锈剂应用到转锈涂料中是近年来的一个研究热点,没食子酸酯更易于与树脂相容,提高了涂料的稳定性。

3 有机肟类化合物

肟是非常重要的有机化合物,一些肟及其衍生物具有优良的除草、杀虫、消炎、杀菌、抗真菌、抗病毒等功效,被广泛地应用于农药和医药领域[32]。含肟金属化合物在制备具有磁性、生物活性、光学性质和催化性能等新材料方面具有潜在的应用前景。近年来,某些肟在配位化学领域中受到很多研究者的关注[33,34,35]
近年来,已有研究学者将这类有机化合物作为转锈剂应用到转锈涂料中,肟类化合物对金属表面具有良好的钝化、缓蚀作用。肟类化合物中—OH的氧原子与—C=N—中的氮原子参与了螯合过程形成配位键,从而生成环状结构的稳定螯合物,起到防腐作用[36,37]。它的作用机理如图4所示。
图4 肟类化合物与铁锈作用机理

Fig.4 The mechanism of reaction between oxime and rust

周宽等[38]以一种肟类物质(SO)为基础制备了一种带锈转锈处理液,以SO为锈转化剂、聚乙烯缩丁醛为成膜物、滑石粉为填料,制备可成膜的转锈液。采用电化学交流阻抗谱和表面跟踪观察的方法,研究了该锈处理液的耐腐蚀性能。试验表明该处理液具有明显的转锈功能,可与铁锈形成红棕色的螯合物附着在钢铁表面,并具有显著的缓蚀效果。张坤等[39]将水杨醛肟作为转锈剂,分别配制了含有水杨醛肟和不含有水杨醛肟的2种涂料,以聚乙烯醇缩丁醛为成膜树脂,用电化学的方法,对比2种试样的耐腐蚀性能。实验结果表明水杨醛肟可以与钢铁表面的锈蚀发生反应,生成稳定的螯合物。
张光华等[40]以没食子酸为原料,与小分子物质反应得到有机肟类转锈剂,以五氧化二磷为磷酸化试剂合成了磷酸酯功能单体,将它们与丙烯酸丁酯、甲基丙烯酸甲酯等通过半连续种子乳液聚合法制备了水性带锈防锈乳液。实验结果表明:该肟类转锈剂可将锈蚀在1 h内转化为黑色锈转化膜,转锈效果明显,该水性带锈防腐乳液,具有优良的附着力,耐腐蚀性能。
冯艳斐等[41,42]在过去的研究中以没食子酸为原料,合成了3,4,5-羟基-2-肟基苯甲酸(简称RC-GAO)作为转锈剂,该转锈剂中同时含有肟基和羟基,红外、扫描电镜、X-射线衍射分析结果表明RC-GAO具有良好的转锈功能。
肟类化合物是近年来转锈剂研究的一个新方向,在国内外研究较少,目前的研究表明,该类化合物具有良好的转锈功能,是未来转锈剂应用和发展的一个重要方向。

4 其他转锈剂

赵建龙等[43]以低毒的丙烯酸乳液、单宁酸和异丙醇等无公害物质为原料,通过正交试验优化配方,制备了环保型水性铁锈转化剂。实验结果表明:此铁锈转化膜层致密、平整,耐热性好,并具有良好的耐腐蚀性能,对钢材具有良好的防腐蚀作用。向永华等[44]采用X800-1转锈树脂作为转锈剂,以双酚A环氧树脂E20作为涂膜的成膜物,研制出可带湿带锈涂装的新型带湿带锈涂料。X800-1树脂也是良好的渗透剂,树脂含有羟基与锈蚀物反应,在带锈表面形成防锈性涂层。该涂料具有优异的机械性能和防腐蚀性能,带锈涂装能力和带湿涂装能力均取得明显突破。陈明生等[45]通过葡萄糖酸与环氧单体反应得到多酚型转锈剂,这种多酚型转锈剂利用其酚羟基与铁离子配位产生稳定的配体,使铁锈转化。该转锈剂与含氟丙烯酸乳液复配后制得新型耐候转化型防锈涂料。该涂料具有优异的热稳定性、化学稳定性、耐候性、不粘性、耐化学腐蚀性及阻水阻油性,可以不经过磷化钝化处理直接涂覆在金属表面,具有极佳的防锈效果。
为了防止在合成转锈剂的过程中产生很多有害化合物,很多研究学者对天然的铁锈抑制剂进行了广泛的研究,如塔拉[46]、仙人掌的植物茎[47]、指甲花叶子[48]、印篙[49]、百里香叶子[50]、西瓜皮[51]等的提取物,它们作为绿色无污染的锈抑制剂用在碳钢表面,为转锈剂的发展提供参考方向。

5 结 语

带锈转锈涂料中的锈转化剂仍然以磷酸、单宁酸类或者有类似结构的有机物为主。这些转锈剂在转锈涂料中的应用存在一些问题,如磷酸单宁酸体系对锈层的要求较高,转锈效果易受单宁酸类型、单宁酸磷酸浓度、pH、反应时间和钢铁表面锈蚀程度等因素的影响,磷酸的残留容易对涂层造成二次腐蚀。没食子酸及没食子酸酯类存在转锈效果较差、耐水性差等问题也限制了它的应用。肟类化合物是近年来研究的新的方向,相关研究不多,存在研究不深入、机理探究不透彻、转锈涂料不稳定等问题。今后的研究将致力于提升转锈剂的转锈功能,增强转锈剂在防腐涂中的稳定性以提高转锈涂料的综合性能。
[1]
NASRAZADANI S . The application of infrared spectroscopy to a study of phosphoric and tannic acids interactions with magnetite (Fe3O4),goethite(α-FeOOH) and lepidocrocite(γ-FeOOH)[J]. Corrosion Science, 1997,39(10):1845-1859.

[2]
OBOT IB.OBOT AND, OBI-EGBEDI N O . Anti-corrosion properties of xanthone on mild steel corrosion in sulphuric: Experimental and theoretical investigations[J]. Current Applied Physics, 2011,11(30):382-392.

[3]
GUST J, BOBROWICZ J . Sealing and anti-corrosion action of tannin rust converters[J]. Corrosion Science, 1993,49(1):25-30.

[4]
COLLAZO A, NOVOA X R, PEREZ C . EIS study of rust converter effectiveness under different conditions[J]. Electrochimica Acta, 2008,53(25):7565-7574.

[5]
YAHYA S, SHAN A M, RAHIM A , et al. Phase transformation of rust in the presence of various tannins[J]. Journal of Physical Science, 2008,19(1):31-41.

[6]
OROZCO-CRUZ R, AMBROS-PERALTA M, GALVAN-MARTUNEZ R , et al. Corrosion evaluation of rust converter and microcrystalline wax on cannon balls from san juan de ulua fortress[J]. MRS Online Proceedings Library, 2014,1618:227-232.

[7]
XU H Y, FAN X Q, JI Q S .A New rust conversion coating and its working mechanism in rust remove and painting[J]. Applied Mechanics and Materials, 2014,484-485:12-16.

[8]
FELIU S, GAALAVAN J C, FELIU J S , et al. An electrochemical impedance study of the behaviour of some pretreatments applied to rusted steel surfaces[J]. Corrosion Science, 1993,35(5-8):1351-1358.

[9]
KUZNETSOV Y I . Corrosion inhibitors in corrosion coatings. II[J]. Protection of Metals, 2000,36(2):1218-134.

[10]
BELTRAN J J, NOVEGIL F J, GARCIA K E , et al. On the reaction of iron oxides and oxyhydroxides with tannic and phosphoric and their mixtures[J]. Hyperfine Interactions, 2010,195(1-3):133-140.

[11]
ZHANG S F, ZHANG R F, LI W K , et al. Effects of tannic acid on properties of anodic coatings obtained by micro arc oxidation on AZ91 magnesium alloy[J]. Surface and Technology, 2012,207:170-176.

[12]
SINGH D, YADAV S . Role of tannic acid based rust converter on formation of passive film on zinc rich coating exposed in simulated concrete pore solution[J]. Surface and Technology, 2008,202(8):1526-1542.

[13]
MORCILLO M MORCILLO, FELIU S, SIMANCAS J , et al. Corrosion of rusted steel in aqueous solutions of tannic acid[J]. Corrosion, 1992,48(12):1032-1039.

[14]
BARRERO C A, RIOS J F, MORALES A L , et al. On the analysis of the mossbauer spectra of the rust converter by tannic and phosphoric acids[J]. Hyperfine Interactions, 2003,148(1-4):211-217.

[15]
ROSS T K, FRANCIS R A . The treatment of rusted steel with mimosa tannin[J]. Corrosion Science, 1978,18(4):352-361.

[16]
HU H Y, FAN X Q, JI Q S . A New rust conversion coating and its working mechanism in rust remove and painting[J].Applied Mechanics and Materials,2014,484-485:12-16.

[17]
高景龙, 刘艳辉 . 钢铁带锈带油带水涂料的研制[J]. 化学与粘合, 2008,30(5):78-80.

[18]
屈中伟, 李欣, 杨鹏 , 等. 带锈钢材表面单宁酸-磷酸复合转化膜的防腐蚀性能[J]. 电镀与涂饰, 2014,34(1):8-13.

[19]
李洋, 马元泰, 雷冰 , 等. 一种带锈处理工艺与多种常用有机涂层附着力配套性研究[J]. 腐蚀科学与防护技术, 2015,27(2):129-134.

DOI

[20]
FAVRE M, LANDOLT D . The influence of gallic acid on the reduction of rust on painted steel surfaces[J]. Corrosion Science, 1993,34(9):1481-1494.

[21]
GUST J, WAWER I . Relationship betwween radical scavenging effects and anticorrosion properties of polyphenols[J]. Corrosion Science, 1995,51(1):37-43.

[22]
GUST J, SUWALSKI J . Use of mossbauer spectroscopy to study reaction products of polyphenols and iron compounds[J]. Corrosion Science, 1994,50(5):355-365.

[23]
MULLER B . Amphiphilic esters of gallic acid as corrosion inhibitors for aluminium and zinc pigments[J]. Tenside Surfactants Detergents, 2001,38(5):273-276.

[24]
KENY J, KUMBHAR A G, THINAHARAN C , et al. Gallic acid as a corrosion inhibitor of carbon steel in chemical decontamination formulation[J]. Corrosion Science, 2008,50(2):411-419.

[25]
ZHANG B, LI S P, WANG C Y , et al. Terahertz spectroscopic Investigation of gallic acid and its monohyderate[J]. Spectrochimica Acta Part A:Molecular and Biomolecular Spectroscopy, 2018,190:40-46.

[26]
岳华东 . 新型转锈剂及水性带锈防锈涂料的制备[D]. 长沙:湖南大学, 2012.

[27]
李艳华, 刘迎新, 许烨 . 新型水性带锈防锈涂料的研究[J]. 涂料工业, 2017,47(7):45-50.

[28]
FIA Y F, REN N N, YUE H D , et al. Preparation and properties of natural gallic acid based rust conversion emulsion[J]. Pigment & Resin Technology, 2016,45(3):191-198.

[29]
张光华, 徐凤 . 水性转锈防腐乳液的合成与性能研究[J]. 涂料工业, 2016,46(11):51-57.

[30]
张光华, 徐凤 . 水性转锈防腐涂料的设计合成与性能研究[J]. 陕西科技大学学报, 2016,34(6):87-92.

[31]
LI J F, GE S S, WANG J X , et al. Water-based rust converter and its polymer composites for surface anticorrosion[J]. Colloids and Surface A, 2018,537:334-342.

[32]
CHANDRAPPA S, UMASHANKARA M, VINAYA K , et al. One-pot synjournal of aryl oxime analogues from methyl arenes using NBS and hydroxyl amine hydrochloride[J]. Tetrahedron Letters, 2012,53(21):2632-2635.

[33]
ASANO K, MATSUBARA S . Amphiphilic organocatal yst for Schotten-B aumann-type tosylation of alcohols under organic solvent free condition[J]. Organic Letters, 2009,11(8):1757-1759.

[34]
KAMAL A, REDDY J S, BHARATHI E V , et al. Base-free monsulfonylation of aminess using tosyl or mesyl chloride in water[J]. Tetrahedron Lett, 2008,49(2):348-353.

[35]
杨勇, 李海普, 杨兆光 , 等. 芬顿氧化水杨醛肟的实验研究[J].化学工程与装备,2017(8):7-10.

[36]
ZHANG K, SONG Y S, ZHONG D H . Et al. Study on a kind of rust-transforming technology[J]. Advanced Materrials Research, 2011,311:1847-1851.

[37]
宋玉苏, 邓淑珍 . 一种肟类缓蚀剂与铁螯合作用研究[J]. 材料保护, 2003,36(8):33-36.

[38]
周宽, 宋玉苏, 邓淑珍 . 一种转锈处理液耐蚀性能的研究[J]. 电镀与涂饰, 2009,29(1):57-60.

[39]
张坤, 宋玉苏, 周宽 , 等. 水杨醛肟的转锈特征研究[J]. 腐蚀与防护, 2010,31(1):68-71.

[40]
张光华, 徐凤 . 磷酸酯水性带锈防锈丙烯酸酯乳液的合成与性能[J]. 电镀与涂饰, 2016,36(2):69-74.

[41]
FENG Y F, GE S S, LI J F , et al. Synjournal of 3,4,5-trihydroxy-2-[(hydroxyimino)methyl] benzoic acid as a novel rust converter[J]. Green Chemistry Letters and Reviews, 2017,10(4):455-461.

[42]
葛圣松, 冯艳斐, 邵谦 , 等. 一种有机肟锈转化剂制备方法及水性铁锈转化底漆制备方法:CN103882440A[P]. 2014-03-05.

[43]
赵建龙, 衣守志, 丁涛 . 环保型铁锈转化剂的制备及其性能[J]. 材料保护, 2013,46(1):25-30.

[44]
向永华, 张松 . 新型带湿带锈涂料研制及其应用[J]. 中国涂料, 2016,31(11):23-26.

[45]
陈明生, 林大伟 .一种新型水性耐候转化型防锈涂料的制备方法: CN105524504[P]. 2016-02-03.

[46]
MERIN S F, CAPRARI J J, TORRES L V , et al. Inhibitive action of tara tannin in rust converter formulation[J]. Anti-Corrosion Methods and Materials, 2017,64(2):136-147.

[47]
EL-ETRE A Y . Inhibition of aluminum corrosion using Opuntia extract[J]. Corrosion Science, 2003,45(11):2485-2495.

[48]
EL-ETRE A Y, ABDALLAH M, EL-TANTWAY Z E . Corrosion inhibition of some metals using lawsonia extract[J]. Corrosion Science, 2005,47(2):385-395.

[49]
GARAI S, GARAI S, JAISANKAR P , et al. A comprehensive study on crude methanolic extract of Artemisia pallens(Asteraceae) and its active component as effective corrosion inhibitors of mild steel in acid solution[J]. Corrosion Science, 2012,60:196-203.

[50]
IBRAHIM T, ALAYAN H, MOWAQETA Y . The effect of Thyme leaves extract on corrosion of mild steel in HCL[J]. Progress in Organic Coatings, 2012,75(4):456-462.

[51]
ODEWUNMI N A, UMOREN S A, GASEM Z M . Utilization of watermelon ring extract as a green corrosion inhibitor for mild steel in acidic media[J]. Journal of industrial and Engineering Chemistry, 2015,21:239-247.

Outlines

/